教学建议
一、知识结构

二、重点、难点分析
本节教学的重点是掌握公式的结构特征及正确运用公式.难点是公式推导的理解及字母的广泛含义.平方差公式是进一步学习完全平方公式、进行相关代数运算与变形的重要知识基础.
1.平方差公式是由多项式乘法直接计算得出的:


与一般式多项式的乘法一样,积的项数是多项式项数的积,即四项.合并同类项后仅得两项.
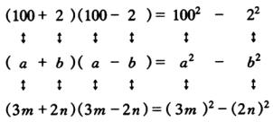
2.这一公式的结构特征:左边是两个二项式相乘,这两个二项式中有一项完全相同,另一项互为相反数;右边是乘式中两项的平方差,即相同项的平方与相反项的平方差.公式中的字母可以表示具体的数(正数和负数),也可以表示单项式或多项式等代数式.
只要符合公式的结构特征,就可运用这一公式.例如

在运用公式的过程中,有时需要变形,例如 ,变形为
,变形为 ,两个数就可以看清楚了.
,两个数就可以看清楚了.
3.关于平方差公式的特征,在学习时应注意:
(1)左边是两个二项式相乘,并且这两上二项式中有一项完全相同,另一项互为相反数.
(2)右边是乘式中两项的平方差(相同项的平方减去相反项的平方).
(3)公式中的和可以是具体数,也可以是单项式或多项式.
(4)对于形如两数和与这两数差相乘,就可以运用上述公式来计算.
三、教法建议
1.可以将“两个二项式相乘,积可能有几项”的问题作为课题引入,目的是激发学生的学习兴趣,使学生能在两个二项式相乘其积可能为四项、三项、两项中找出积为两项的特征,上升到一定的理论认识,加以实践检验,从而培养学生观察、概括的能力.
2.通过学生自己的试算、观察、发现、总结、归纳,得出为什么有的两个二项式相乘,其积为两项,因为其中两项是两个数的平方差,而另两项恰是互为相反数,合并同类项时为零,即
(a+b)(a-b)=a2+ab-ab-b2=a2-b2.
这样得出平方差公式,并且把这类乘法的实质讲清楚了.
3.通过例题、练习与小结,教会学生如何正确应用平方差公式.这里特别要求学生注意公式的结构,教师可以用对应思想来加强对公式结构的理解和训练,如计算(1+2x)(1-2x),
(1+2x)(1-2x)=12-(2x)2=1-4x2
↓ ↓ ↓ ↓ ↑ ↑
(a + b)(a - b)=a2- b2.
这样,学生就能正确应用公式进行计算,不容易出差错.
另外,在计算中不一定用一种模式刻板地应用公式,可以结合以前学过的运算法则,经过变形后灵活应用公式,培养学生解题的灵活性.
教学目标
1.使学生理解和掌握平方差公式,并会用公式进行计算;
2.注意培养学生分析、综合和抽象、概括以及运算能力.
教学重点和难点
重点:平方差公式的应用.
难点:用公式的结构特征判断题目能否使用公式.
教学过程设计
一、师生共同研究平方差公式
我们已经学过了多项式的乘法,两个二项式相乘,在合并同类项前应该有几项?合并同类项以后,积可能会是三项吗?积可能是二项吗?请举出例子.
让学生动脑、动笔进行探讨,并发表自己的见解.教师根据学生的回答,引导学生进一步思考:
两个二项式相乘,乘式具备什么特征时,积才会是二项式?为什么具备这些特点的两个二项式相乘,积会是两项呢?而它们的积又有什么特征?
(当乘式是两个数之和以及这两个数之差相乘时,积是二项式.这是因为具备这样特点的两个二项式相乘,积的四项中,会出现互为相反数的两项,合并这两项的结果为零,于是就剩下两项了.而它们的积等于乘式中这两个数的平方差)
继而指出,在多项式的乘法中,对于某些特殊形式的多项式相乘,我们把它写成公式,并加以熟记,以便遇到类似形式的多项式相乘时就可以直接运用公式进行计算.以后经常遇到(a+b)(a-b)这种乘法,所以把(a+b)(a-b)=a2-b2作为公式,叫做乘法的平方差公式.
在此基础上,让学生用语言叙述公式.
二、运用举例 变式练习
例1 计算(1+2x)(1-2x).
解:(1+2x)(1-2x)
=12-(2x)2
=1-4x2.
教师引导学生分析题目条件是否符合平方差公式特征,并让学生说出本题中a,b分别表示什么.
例2 计算(b2+2a3)(2a3-b2).
解:(b2+2a3)(2a3-b2)
=(2a3+b2)(2a3-b2)
=(2a3)2-(b2)2
=4a6-b4.
教师引导学生发现,只需将(b2+2a3)中的两项交换位置,就可用平方差公式进行计算.
课堂练习
运用平方差公式计算:
(l)(x+a)(x-a); (2)(m+n)(m-n);
(3)(a+3b)(a-3b); (4)(1-5y)(l+5y).
例3 计算(-4a-1)(-4a+1).
让学生在练习本上计算,教师巡视学生解题情况,让采用不同解法的两个学生进行板演.
解法1:(-4a-1)(-4a+1)
=[-(4a+l)][-(4a-l)]
=(4a+1)(4a-l)
=(4a)2-l2
=16a2-1.
解法2:(-4a-l)(-4a+l)
=(-4a)2-l
=16a2-1.
根据学生板演,教师指出两种解法都很正确,解法1先用了提出负号的办法,使两乘式首项都变成正的,而后看出两数的和与这两数的差相乘的形式,应用平方差公式,写出结果.解法2把-4a看成一个数,把1看成另一个数,直接写出(-4a)2-l2后得出结果.采用解法2的同学比较注意平方差公式的特征,能看到问题的本质,运算简捷.因此,我们在计算中,先要分析题目的数字特征,然后正确应用平方差公式,就能比较简捷地得到答案.
课堂练习
1.口答下列各题:
(l)(-a+b)(a+b); (2)(a-b)(b+a);
(3)(-a-b)(-a+b); (4)(a-b)(-a-b).
2.计算下列各题:
(1)(4x-5y)(4x+5y); (2)(-2x2+5)(-2x2-5);

教师巡视学生练习情况,请不同解法的学生,或发生错误的学生板演,教师和学生一起分析解法.
三、小结
1.什么是平方差公式?
2.运用公式要注意什么?
(1)要符合公式特征才能运用平方差公式;
(2)有些式子表面不能应用公式,但实质能应用公式,要注意变形.
四、作业
1.运用平方差公式计算:
(l)(x+2y)(x-2y); (2)(2a-3b)(3b+2a);
(3)(-1+3x)(-1-3x); (4)(-2b-5)(2b-5);
(5)(2x3+15)(2x3-15); (6)(0.3x-0.l)(0.3x+l);

2.计算:
(1)(x+y)(x-y)+(2x+y)(2x+y); (2)(2a-b)(2a+b)-(2b-3a)(3a+2b);
(3)x(x-3)-(x+7)(x-7); (4)(2x-5)(x-2)+(3x-4)(3x+4).
中考 高考名著
常用成语
新学网 Copyright (C) 2007-2018 版权所有 All Rights Reserved. 豫ICP备09006221号